产品banner
您当前的位置 :九州官方网站(中国)集团有限公司 > 产品中心 > 球阀 > 正文
>
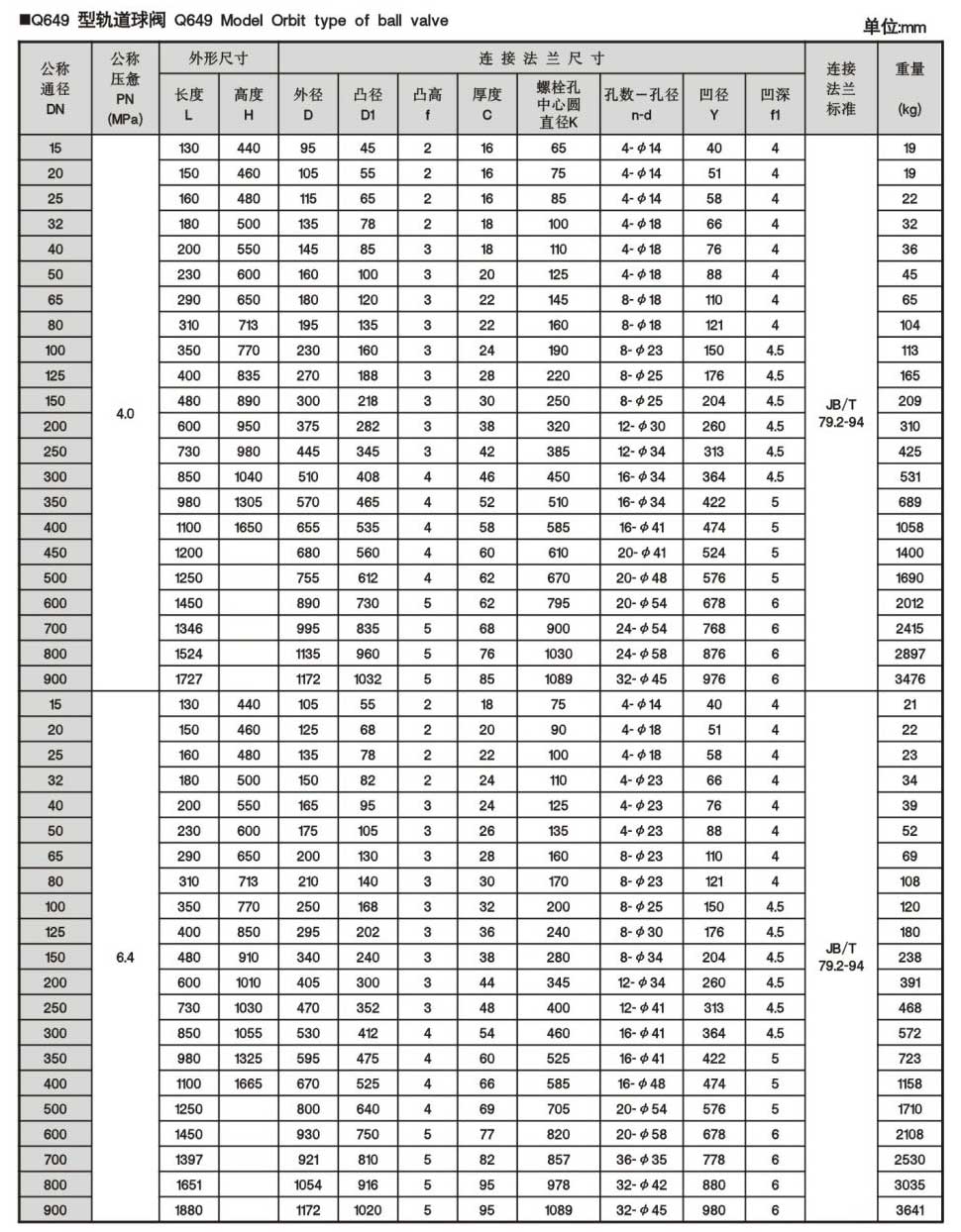
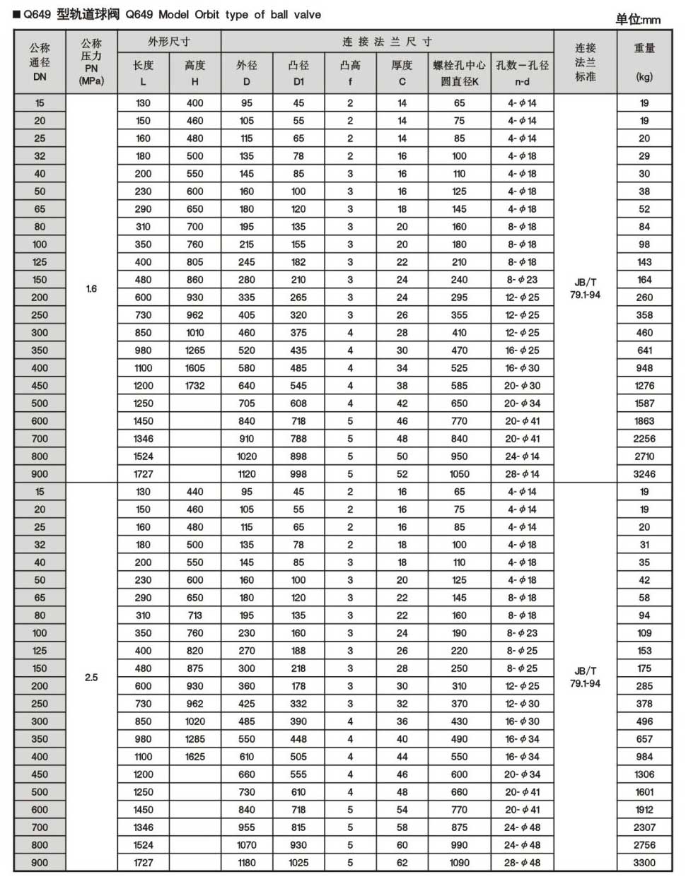
轨道球阀

轨道球阀

  • 所属分类:球阀
  • 浏览次数:
  • 发布日期:2020-11-28 22:32
  • 产品概述

 

本文网址:/qiufa/98.html
上一篇:电动球阀
下一篇:[球阀]

以诚信为根本,以市场为先导,以品牌为荣誉,以质量求生存,以科技促发展,为社会及相关产业提供信赖、高效、智能化的阀门产品和优质的售前、售中、售后服务,着力打造“九州官方网站”品牌,以诚信、共赢的经营理念与广大新老客户共创美好明天!

13777774562

地址:浙江永嘉瓯北三桥工业区九州官方网站工业园